कहते हैं White Light में अनेक रंग होते हैं, पर इस तथ्य की पुष्टि के लिए हमें White Light के विभिन्न Colors को अलग करना पड़ेगा। इसका एक सरल-सा तरीका है Refraction (अपवर्तन)। जब एक माध्यम में चलती प्रकाश की कोई बीम दूसरे माध्यम की सतह पर तिरछी पड़ती है तो वह अपने पथ से विचलित Deviate हो जाती है। यह विचलन Deviation ,अपवर्तनांक Refractive Index n के मान पर निर्भर करता है।
अपवर्तनांक (Refractive index) n माध्यम की प्रकृति के अलावा प्रकाश के तरंगदैर्घ्य (Wavelength) या आवृत्ति (frequency) पर भी निर्भर करता है। अर्थात, एक ही माध्यम का Refractive Index अलग-अलग Wavelength के प्रकाश के लिए अलग-अलग होता है। अतः, यदि White Light की एक पतली बीम किसी दूसरे माध्यम में अपवर्तित हो, तो अलग-अलग Wavelengths के घटक अलग-अलग कोणों (Angles) से विचलित होंगे और White Light की प्रारंभिक बीम अलग-अलग रंगों की बीमों में बँट जाएगी। White Light के विभिन्न तरंगदैर्यों में बँट जाने की प्रक्रिया को 'वर्ण-विक्षेपण' कहते हैं।
उदाहरण के लिए, Silicate Flint Glass का Refractive index 400 nm पर लगभग 1.66 है जबकि 700 nm पर यह 1.61 रह जाता है। Wavelength के इसी परिवर्तन से पानी का Refractive Index 1.344 से घटकर 1.331 हो जाता है। Refractive index का Wavelength के साथ परिवर्तन काफी हद तक समीकरण,से दिया जाता है। इसे Cauchy का समीकरण कहते हैं और A को Cauchy का स्थिरांक (Constant) कहते हैं जिसका मान अलग-अलग पदार्थों के लिए अलग-अलग होता है।
वर्ण-विक्षेपण Dispersion प्राप्त करने का सबसे सरल उपकरण Prism है। इसकी दो सतहों पर अपवर्तनों से किरणों के विचलन आपस में जुड़ जाते हैं और वर्ण-विक्षेपण अधिक प्रभावी ढंग से दिखता है। चित्र में इस प्रक्रिया को समझने का प्रयास किया गया है।
सामान्यतः Light की बीम में कुछ मोटाई होती है और Prism के कारण बननेवाला पैटर्न साफ तौर पर रंगों को अलग नहीं कर पाता। इसलिए प्रकाश को एक पतली Slit से गुजारना लाभदायी होता है। यदि आप Prism के आगे एक उत्तल लेस (Convex Lens) रख दें और उचित स्थान पर पर्दा रखें तो रंग और भी अच्छी तरह दिखेंगे।
विक्षेपण-क्षमता Dispersive Power
चित्र में एक Prism पर पड़ते White Light के तीन Wavelengths की किरणों का विक्षेपण Dispersion दिखाया गया है। लाल (Red), पीले (Yellow) तथा बैगनी (Violet) रंग के प्रकाश की किरणों के विक्षेपण क्रमशः δr ,δy तथा δv लिखे गए हैं। δv - δr, को कोणीय विक्षेपण (Angular Dispersion) तथा मध्य तरंगदैर्घ्य (पीली) Yellow की किरण के विचलन δy को औसत विचलन Mean Deviation कहते हैं। यदि एक पारदर्शी माध्यम के पतले Prism पर White Light की बीम ऐसे डाली जाए कि मध्य तरंगदैर्घ्य Mean Wavelength (पीले प्रकाश) के लिए वह न्यूनतम विचलन Minimum Deviation की स्थिति में हो, तो कोणीय विक्षेपण (Angular Dispersion) एवं औसत विचलन (Mean Deviation) के अनुपात को उस माध्यम की विक्षेपण-क्षमता (Dispersive Power) कहते हैं।
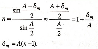
पतले प्रिज्म (Thin Prism) के लिए विचलन कोण (Angle Of Deviation) का मान भी छोटा ही होगा तथा विभिन्न रंगों के बीच विक्षेपण (Dispersion) भी कम ही होगा। अतः, यदि पीली किरण (Yellow Light) के लिए Prism न्यूनतम विचलन (Minimum Deviation) की स्थिति में है, तो बाकी रंगों की किरणों के लिए भी वह लगभग न्यूनतम विचलन (Minimum Deviation) की स्थिति में ही होगा।
यदि प्रिज्म का कोण A छोटा हो, तो






No comments:
Post a Comment